Analogía de las series de desintegración radioactiva

prev.gif (1231 bytes)home.gif (1232 bytes)next.gif (1211 bytes)

Fluidos

Dinámica de fluidos
Vaciado de un depósito (I)
Vaciado de un depósito (II)
Cohete propulsado
por agua
Oscilaciones en un tubo
en forma de U 
Oscilaciones en vasos
comunicantes

Fluidos reales
Ley de Poiseuille
Viscosidad de un gas
Viscosidad de un líquido
Fluido entre dos
cilindros coaxiales
Descarga de un
tubo-capilar
Carga y descarga de
un tubo-capilar
marca.gif (847 bytes)Analogía de las series de
  desintegración radioactiva
Régimen laminar y 
turbulento
Efecto Magnus
Fundamentos físicos

java.gif (886 bytes)Actividades

Referencias

 

Se puede construir un modelo sencillo de una serie de desintegración radioactiva, que conste de tres términos A® B® C, donde A es una sustancia radioactiva que al desintegrarse da lugar a una sustancia B y esta a su vez, al desintegrarse da lugar a una sustancia C estable, colocando un tubo-capilar A encima de otro B, y éste encima de un tubo cerrado C.

 

Fundamentos físicos

Las ecuaciones que describen la variación de las respectivas columnas de fluido en función del tiempo son las siguientes: (véase las dos páginas anteriores: descarga de un tubo-capilar y carga y descarga de un tubo-capilar).

Velocidades de variación de la altura de columna de fluido en los tres tubos:

  • Tubo-capilar A. Si su constante es a, la altura x de la columna de fluido disminuye a razón de ax
  • Tubo capilar B. Si su constante es b, la altura y de la columna de fluido disminuye a razón de by, y aumenta a razón de ax.
  • Tubo C. La altura z de su columna de fluido aumenta a razón de by.

donde x, y y z son las alturas de las columnas de fluido en los tubos A, B y C.

a y b son las constantes de los tubos-capilares A yB.

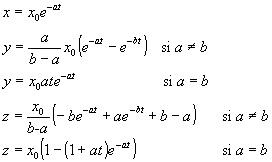
Las soluciones del sistema del sistema de tres ecuaciones diferenciales de primer orden con las condiciones iniciales t=0, x=x0, y=0, z=0 son las siguientes:

Podemos observar que el tubo A disminuye su altura x exponencialmente, y el tubo C por ser cerrado incrementa siempre su altura. Sin embargo, es más importante el comportamiento del tubo-capilar intermedio B: primero crece la altura de su columna de fluido hasta llegar a un máximo y luego, decrece hasta hacerse cero (en un tiempo teóricamente infinito). Observamos tres fases en el comportamiento del tubo-capilar B:

  1. Gana en la unidad de tiempo más fluido del que pierde por el capilar (dy/dt>0)
  2. El máximo indica una situación de equilibrio dinámico, entra tanto fluido en la unidad de tiempo como sale (dy/dt=0).
  3. Pierde en la unidad de tiempo más fluido que el que aporta el tubo-capilar A (dy/dt<0).

La representación gráfica de x, y y z en función del tiempo, nos permite comprender mejor que:

  1. Existan materiales radioactivos de tan pequeña vida media como el Radio, 1600 años frente a la edad de la Tierra 2500 millones de años.
  2. La cantidad de estas sustancias es casi invariable
  3. La cantidad de plomo se incrementa continuamente.

Evidentemente, por muy grande que fuese la cantidad inicial de Radio en el momento de la formación de la Tierra, al desintegrase, con un periodo de desintegración tan pequeño comparado con la edad de la Tierra, la cantidad existente actualmente sería despreciable. Su presencia se debe a que forma parte de un producto intermedio de una serie radioactiva.

Uranio (238)® Torio(234) ® Protactinio(234) ® Uranio(234) ® Torio(230) ® Radio(226) ® ..... Plomo(206)

La existencia de Uranio en cantidades importantes y su elevada vida media 4.56 109 años hace que podamos encontrar Radio como resultado de su desintegración. La baja vida media de los productos intermedios explica la invariabilidad en la proporción de dichos elementos ya que estamos en una situación estacionaria.

En nuestra serie A® B® C, en el estado estacionario, dy/dt=0, por lo que ax=by. Podemos calcular la cantidad de sustancia radioactiva y conociendo x y sus respectivas vidas medias.

Si a es pequeño (vida media grande) x disminuye lentamente, la situación de equilibrio dura bastante tiempo. En todos los casos, la sustancia estable C crece continuamente.

Caso particular

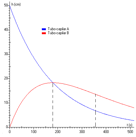
Cuando la constante del tubo-capilar A es igual a la constante del tubo-capilar B, a=b. Observamos en la representación gráfica de las respectivas alturas x (en azul) e y (en rojo) de las columnas de fluido,

x=x0·exp(-a·t)
y=x0·a·t
·exp(-a·t)

La intersección de ambas curvas se produce en el máximo de la segunda curva

  • Intersección

x=y, t=1/a

  • Máximo, se calcula igualando la derivada primera a cero.

  • Punto de inflexión

El punto de inflexión de la curva y(t), se calcula igualando la derivada segunda a cero

La abscisa del punto de inflexión se encuentra a doble distancia del origen que el máximo.

 

Actividades

Se introduce

  • la longitud del tubo-capilar A, actuando en la barra de desplazamiento titulada Longitud A.
  • la longitud del tubo-capilar B, actuando en la barra de desplazamiento titulada Longitud B.

Se pulsa el botón titulado Nuevo.

Con el puntero del ratón se arrastra la flecha de color rojo para modificar la altura inicial de la columna de fluido del tubo-capilar A,

Se pulsa el botón titulado Empieza.

Se introduce un valor grande (10 cm) para la longitud del capilar del tubo A, y pequeña (2 cm) para el capilar del tubo B. Se observa la evolución de las alturas de las respectivas columnas de fluido.

Se intercambian los valores, un valor pequeño (2 cm) para la longitud del capilar del tubo A, y un valor grande (10 cm) para la longitud del capilar del tubo B. Se observa la evolución de las alturas de las respectivas columnas de fluido.

Se introduce valores iguales, para las longitudes (5 cm) de ambos capilares.

 

 

FluidoApplet1 aparecerá en un explorador compatible con JDK 1.1.

Se arrastra con el puntero del ratón la flecha de color rojo

 

Referencias

Franco A. Analogías Físicas (Mecánica, Electricidad, Fluidos) . Documentación E.I. (Enseñanzas Integradas). Vol 6 (3),1982, págs. 63-69

Seobie J. Scott R. D., Steward J. F., Use of point of inflection on a radiactive decay curve. Am. J. Phys. 43 (11) November 1975, pp. 1012-1013