Vaciado de un depósito (II)

prev.gif (1231 bytes)home.gif (1232 bytes)next.gif (1211 bytes)

Fluidos

Dinámica de fluidos
Vaciado de un depósito (I)
marca.gif (847 bytes)Vaciado de un depósito (II)
Cohete propulsado
por agua
Oscilaciones en un tubo
en forma de U 
Oscilaciones en vasos
comunicantes

Fluidos reales
Ley de Poiseuille
Viscosidad de un gas
Viscosidad de un líquido
Fluido entre dos
cilindros coaxiales
Descarga de un
tubo-capilar
Carga y descarga de
un tubo-capilar
Analogía de las series de
desintegración radioactiva
Régimen laminar y 
turbulento
Efecto Magnus
Fundamentos físicos

java.gif (886 bytes)Actividades

 

En la página anterior, hemos estudiado el vaciado de un depósito, suponiendo que está abierto por arriba.

Vamos a estudiar en esta página, el vaciado de un depósito de agua que está cerrado por la parte superior mediante una tapa hermética y que contiene aire en su interior a una presión inicial dada.

Este ejemplo nos va a servir de introducción al estudio del cohete impulsado por agua, un problema interdisciplinar en el que intervienen, tres partes de la Física: Fluidos, Dinámica y Termodinámica.

A medida que se vacía el depósito, el volumen de aire aumenta y la presión disminuye. Supondremos que esta disminución de presión se realiza a temperatura constante, es decir, se trata de un proceso isotérmico.

 

Fundamentos físicos

En la figura se muestra un depósito que tiene una altura H y una sección S1, la sección del orificio de salida en el fondo del depósito es S2, la altura inicial de agua es h0, y la presión del aire en su interior p0.

Se abre el orificio de salida del agua, y se mide la altura h de la columna de agua en función del tiempo t.

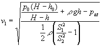
Aplicamos el teorema de Bernoulli comparando dos puntos del fluido. El punto 1 en la interfase aire-agua y el punto 2 en el orificio de salida.

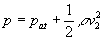
Sea p1 la presión del aire en el interior del depósito, y v1 la velocidad del agua en el punto 1, y h la altura de agua en el depósito en el instante t. La presión p2 en el orificio de salida es la atmosférica pat y la velocidad del fluido es v2.

Consideramos los puntos (1) y (2) situados en la superficie libre del fluido y en el centro del orificio inferior. Las ecuaciones que describen el comportamiento de este sistema físico son:

  1. Ecuación de continuidad

S1·v1=S2·v2

  1. Ecuación de Bernoulli

  1. Expansión isotérmica del gas

p0·S1(H-h0)=p1·S1(H-h)

 

Altura del fluido en equilibrio

La consecuencia más importante de estas ecuaciones es que el agua deja de salir por el orificio cuando v2 y por tanto v1 sean nulos.

La presión del aire en el interior del depósito será algo menor que la presión atmosférica. La diferencia será la presión correspondiente a la columna de agua de altura h.

De las ecuaciones de Bernoulli y de la transformación isoterma

p1+r gh=pat
p0
(H-h0)=p1· (H-h)

Obtenemos la ecuación de segundo grado en h

con dos raíces h1 y h2 . Los valores de las raíces no dependen del área de la sección del depósito S1, ni del orificio S2.

Ejemplo:

  • Sea el radio del depósito r1=10 cm
  • El radio del orificio r2=0.8 cm
  • La altura del depósito H=50 cm
  • La altura inicial de agua en el depósito h0=40 cm
  • Si la presión inicial de aire en el depósito es p0=4 atm

Tomando como presión atmosférica pat=101293 Pa, y la densidad del agua r =1000 kg/m3, y resolviendo la ecuación de segundo grado en h, calculamos la altura final del agua en el depósito.

Las dos raíces son h1=0.096 m=9.6 cm, y h2=10.740 m que es mayor que H=0.5 m. Cuando la altura de agua en el depósito alcanza 9.6 cm deja de salir por el orificio. Calculamos la presión final del aire en el depósito

p1=101293-1000·9.8·0.09=100411 Pa

un poco menos que la presión atmosférica

 

Variación de la altura de agua en el depósito con el tiempo

Despejamos v1 en el sistema de tres ecuaciones

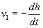
Para hallar como cambia la altura h del agua en el depósito con el tiempo, tenemos en cuenta que,

y se resuelve la integral definida

Dada la dificultad de obtener una expresión analítica sencilla del comportamiento de la altura h con el tiempo t, el programa interactivo realiza una integración numérica, resolviendo la ecuación diferencial de primer orden por el método de Runge-Kutta, hasta que se alcanza la altura de equilibrio o se agota el agua del depósito.

 

Caso particular: cuando la presión del aire es elevada.

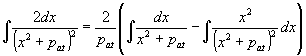
Cuando la presión del aire en el interior del depósito es mucho mayor que la presión atmosférica, no se alcanza la altura de equilibrio, el agua sale del depósito. En este caso, se pueden simplificar bastante las ecuaciones, y se puede encontrar una solución analítica, aunque tampoco es muy simple, al menos, nos sirve de ejercicio para practicar el cálculo integral

Si la sección del depósito S1 es mucho mayor que la sección del orificio S2, la velocidad del fluido en aquella sección v1 es muy pequeña y se puede despreciar la presión debida al movimiento del fluido a través de dicha sección.

La presión debida a la altura de fluido r gh también puede considerarse pequeña respecto de la presión p=p1 del aire en el interior del depósito.

  1. La ecuación de Bernoulli se simplifica notablemente

  1. Al salir el agua por el orificio S2 el volumen de aire V en el interior del depósito aumenta con el tiempo

  1. Al aumentar el volumen V disminuye la presión p, suponiendo una transformación isoterma.

p0V0=p·V

Donde p0 es la presión inicial del aire y V0 su volumen inicial.

A partir de estas tres ecuaciones, podemos determinar la variación de la presión p, o del volumen V de aire en el interior del depósito o bien, del volumen de agua S1·H-V (o altura h) en función del tiempo t.

Elegimos la presión. La ecuación diferencial que determina la variación de la presión p del aire en el interior del depósito con el tiempo t es

Integrando,

Haciendo el cambio de variable x2=p-pat la primera integral se convierte en

La primera es inmediata, y para resolver la segunda es necesario integrar por partes, la función integrando es

Solamente nos queda deshacer el cambio de variable y calcular la integral definida entre los límites p0 y p.

Tenemos una función implícita de p en función de t.

 

Actividades

El programa interactivo estudia el comportamiento de un depósito de 50 cm de altura cerrado con un orificio en la parte inferior.

Se introduce:

  • el radio del depósito r1, actuando en la barra de desplazamiento titulada Radio depósito
  • el radio del orificio r2 situado en el fondo, actuando en la barra de desplazamiento titulada Radio del orificio
  • la presión inicial p0 de aire (en atm) en el depósito cerrado, en el control de edición titulado Presión
  • la altura inicial de agua en el depósito h0  moviendo la flecha de color rojo con el puntero del ratón.

Se pulsa en el botón titulado Empieza

Se puede cambiar el radio del depósito y el radio del orificio y la presión inicial del aire en el interior del depósito p0.

Se representa en la parte derecha la altura  h de agua en el depósito en función del tiempo t.

El caso más importante, ocurre cuando el agua deja de salir por el orificio, se cumple que la presión del aire en el interior del depósito se hace menor que la presión atmosférica, es decir, la diferencia de presión del aire en el interior y en el exterior del depósito se hace igual a la presión que ejerce la columna de agua de altura h.

p1- pat=r gh

Como hemos visto, esta altura no depende de los radios del depósito r1 ni del orifico r2.

En la parte superior derecha del applet, se muestra los valores de la presión atmosférica 101 293 Pa y la presión p1, a medida que sale el agua por el orificio inferior.

 

FluidoApplet1 aparecerá en un explorador compatible con JDK 1.1.

Se arrastra con el puntero del ratón las flechas de color rojo